近日,西安交大一附院肝胆外科吕毅教授、张谞丰教授联合外科梦工场团队与全球13个知名中心合作的关于肝细胞癌的多中心临床研究成果以《围手术期转氨酶变化对肝癌肝切除术后并发症影响的研究》(Perioperative Changes in Serum Transaminase Levels: Impact on Postoperative Morbidity Following Liver Resection of Hepatocellular Carcinoma)为题在外科学权威期刊《外科学年鉴》(Annals of Surgery)发表。该研究基于肝切除术中肝门阻断及控制性低血压等常规术中操作引发的肝脏缺血/再灌注损伤,对于术后肝功能转氨酶水平影响,首次建立了肝切除手术前后血清转氨酶(AST和ALT)水平变化及其与术后并发症发生的数学关系和预测模型,开辟了肝癌手术后病人管理和预后评估的新方向。
肝切除术作为肝脏良恶性肿瘤常规治疗手段,术后并发症发生率高达30-70%。为减少术中出血,在肝切除过程中多频繁进行第一肝门入肝血流间断阻断。此外,控制性低血压亦可有效减少术中静脉出血。然而,术中肝脏血流控制引发的肝脏缺血和随后的再灌注不可避免引发残余肝脏缺血再灌注损伤,表现为残肝出现系列代谢、免疫、微循环和炎症改变,继而临床上表现为术后转氨酶水平显著升高。如何从术后转氨酶水平变化程度有效反映术后并发症发生风险和严重程度,建立内在的科学关联是目前尚未解决的问题。
这项研究联合北美、亚洲、欧洲和大洋洲12个中心,获取2000年至2020年间接受肝癌根治性切除手术的患者,并筛选具有完整术前和术后1、3、5天肝功能数据的病例。研究的关键在于评估了手术前后AST和ALT的变化,揭示了与术后并发症风险相关的特定模式。最终确定选取了术后第3天与术前AST,ALT差值,发现AST和ALT的动态变化与术后综合并发症指数(Comprehensive Complication Index, CCI)之间存在非线性关系;并应用勾股定理,构建了基于转氨酶变化的复合指标CAA指数:
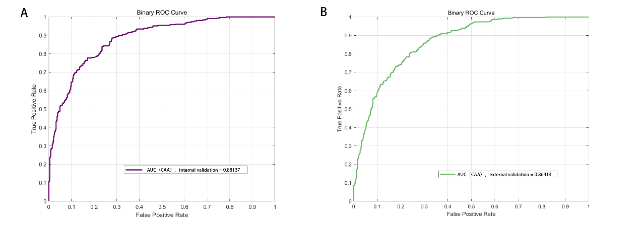
,通过递归分割技术确定得CAA指数区分并发症发生风险的最佳截断值为5。该发现为医生提供了一个强有力的工具,以预测肝癌手术后患者的并发症风险,并据此调整患者的术后管理和监护策略,该模型预测AUC面积88.1%。并且在东方肝胆医院的1000余例外部验证数据中得到了证实,AUC曲线达到86.4%。

图1 三次样条回归与递归分析结果吻合,确定CAA截断值

图2 内部验证与外部验证结果
这项研究在美国俄亥俄州立大学外科学主任Timothy M Pawlik教授,西安交大一附院肝胆外科吕毅教授、张谞丰教授指导下完成。第一作者为外科梦工场王傅民博士(物理学专业),共同一作为西安交大未来技术学院医工学博士生陆镜明(生物医学工程)和东方肝胆医院杨田教授。未来技术学院医工学任耀星(信息与通讯工程)博士为合作作者。该研究不仅体现了跨学科合作在解决复杂医学问题中的优越性,也展示了数据驱动方法在提高手术安全性和患者预后方面的巨大潜力,更反映了外科梦工场医工交叉团队在人才培养和科学研究方面的前瞻性和重要性。
文章链接:https://pubmed.ncbi.nlm.nih.gov/38348655/