当前位置: 新闻网首页>科学研究>正文
科学研究

公共卫生学院科研人员在Journal of Hepatology(《肝病杂志》)发表乙肝孕妇开始治疗时间建模研究

日期:2024-11-21 17:12 浏览量:

乙型肝炎病毒(Hepatitis B virus,HBV)感染是一个重大的全球公共卫生问题,2019年全球约有2.96亿人感染了慢性HBV,其中有82万人死于HBV相关并发症,如肝硬化和肝癌。世界卫生组织(World Health Organization, WHO)在2016年提出“消除病毒性肝炎对公共卫生威胁”的具体目标,即到2030年要将儿童乙型肝炎表面抗原流行率降至0.1%。预防乙肝母婴传播是按时实现这一目标的关键,尤其是在高中度流行地区。在中国,HBV传播的主要途径之一是母婴传播,尽管新生儿接种了乙肝疫苗以及免疫球蛋白,对于体内病毒载量(HBV DNA)水平较高(如5.3 log10 IU/mL)的孕妇仍存在母婴传播风险,孕期及时进行抗病毒治疗可大大降低风险。然而,WHO和各国的指南中对慢性乙肝孕妇在孕期何时开始抗病毒治疗以预防母婴传播的指导原则各不相同,常建议第24-28孕周或第28-32孕周开始治疗,难以满足临床医生的实际需求,甚至对于一些极高病毒载量(如>8 log10 IU/mL)的孕妇会导致因治疗过晚而发生母婴传播。针对不同HBV DNA水平在孕期何时开始抗病毒治疗仍缺乏真实世界的定量证据。

西安交通大学公共卫生学院沈明望副教授联合西安交通大学第一附属医院感染科陈天艳教授团队针对这一临床难题,自2019年1月开始合作探索,开展了慢性乙肝孕妇在孕期何时开始抗病毒治疗的数学模型研究。近日,该研究成果以“Real-world clinical data-driven modelling on the initiation time of antiviral prophylaxis among pregnant women with chronic hepatitis B infection(《慢性乙肝孕妇开始抗病毒治疗时间的真实世界临床数据驱动的数学模型研究)” 为题发表在肝病领域顶级期刊Journal of Hepatology(《肝病杂志》)上。

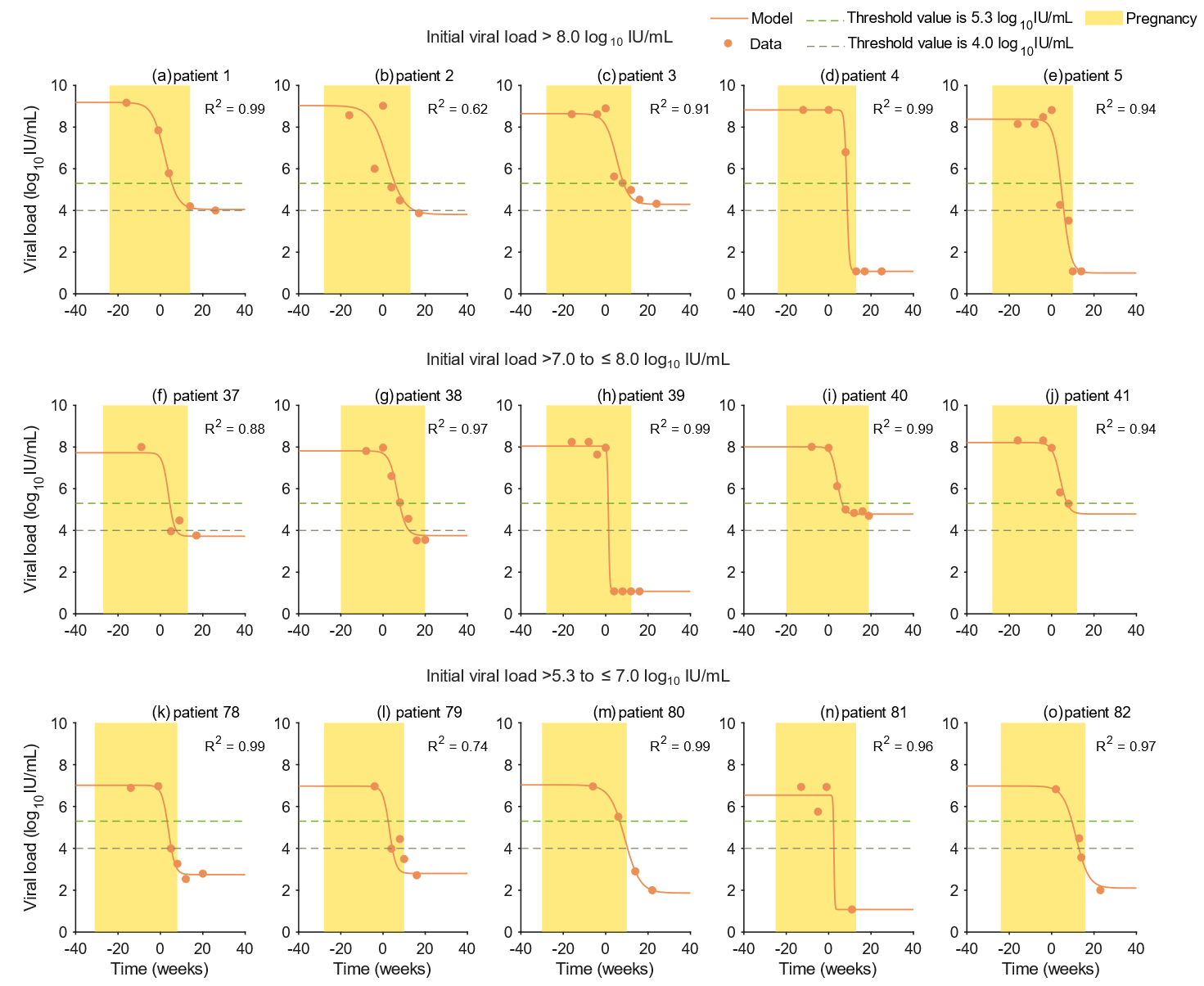
该研究整合了2010-2020年期间在交大一附院感染科就诊的4832名慢性乙肝孕妇真实世界临床数据,经过数据清洗和纳排标准,筛选出328名接受替比夫定(LdT)或替诺福韦(TDF)治疗的慢性乙肝孕妇数据进行建模。通过引入生物数学领域病毒动力学的建模思想,提出了一个简易的数学模型来刻画每个孕妇在孕期接受抗病毒治疗后体内HBV DNA 水平的动态变化趋势,并给出直观的显式表达式来计算将HBV DNA水平降至母婴传播风险可忽略不计(0.04%)的阈值(5.3 log10 IU/mL)水平以下所需的时间。进一步通过对群体数据进行统计分析,计算出孕期开始接受抗病毒治疗的最晚孕周。结果显示(图1-图2),328名慢性乙肝孕妇在接受抗病毒治疗后体内病毒载量降至阈值(5.3 log10 IU/mL)所需要的时间为4.2(0.2-12.8)周,应在不晚于35.1(25.2-41.4)孕周开始接受治疗。特别地,对于HBV DNA8 log10 IU/mL的孕妇,应在不晚于33.9(25.2-39.5)孕周开始接受治疗,为了最大限度地提高临床安全性,建议最晚应该在孕25.2周前开始抗病毒治疗。如果将阈值降至4.0log10 IU/mL(母婴传播风险为0.0%),则开始治疗的时间不应晚于33.2(21.7-39.3)孕周,尤其是HBV DNA8 log10 IU/mL的孕妇,建议在21.7孕周前开始抗病毒治疗,以进一步降低母婴传播风险。通过估算,将开始抗病毒治疗时间提前使得生产时孕妇HBV DNA水平从5.3 log10 IU/mL降至4.0 log10 IU/mL以下,每年可在中国避免4780(3089-5780)名新生儿感染乙肝。

图1不同初始病毒载量下进行替比夫定(LdT) 治疗的慢性乙肝孕妇体内病毒载量变化的拟合曲线

图2不同初始病毒载量水平下服用抗病毒药物替比夫定(LdT)和 替诺福韦(TDF)后病毒载量下降至两种阈值所需的孕周数

Journal of Hepatology(《肝病杂志》,IF:26.8)杂志创刊于1985年,是欧洲肝脏研究学会(EASL)的官方旗舰刊,每年出版原创研究(Research article)165篇左右,主要发表肝病领域相关的临床和基础研究,极少发表建模研究,但本研究的建模结果得到杂志三个编辑和四个审稿人的一致认可。审稿人分别评价“针对高危孕妇研究最优抗病毒治疗时间弥补这一领域的重要知识空白(Efforts to define the optimal timing for initiating antiviral prophylaxis in high-risk women address an important knowledge gap in this field)”“我饶有兴趣地阅读了这项研究,并对研究可能产生的影响以及它可能开辟的其他研究途径感到兴奋(I have read this study with great interest and am excited about the possible implications for the research as well as which other avenues of research it may open)”。

公共卫生学院沈明望副教授是本研究的第一作者兼通讯作者,博士生何诗浩、姚耐娟博士(交大一附院)和李瑞博士是共同第一作者,陈天艳教授(交大一附院)和张磊教授为共同通讯作者。本研究受国家自然科学基金、国家重点研发计划等基金支持。

原文链接:https://www.sciencedirect.com/science/article/pii/S016882782402717X

作者简介:

沈明望,西安交通大学公共卫生学院副教授,陕西省疾控防控与健康促进研究重点实验室副主任。曾获西安交通大学第三届“徐宗本应用数学论文奖”(一等奖)、第七届“十大学术新人”奖、“十大青年岗位能手”,并入选陕西省高校科协青年人才托举计划。主要研究方向为传染病动力学建模、生物数学、理论流行病学、人工智能在医学中的应用、卫生经济学评价等交叉学科研究。主持项目10项,包括国家自然科学基金面上项目和青年基金项目、国家重点研发计划子任务、中国博士后科学基金面上项目(一等资助)和特别资助等。已发表SCI论文77篇,其中第一作者/通讯作者(含共同)38篇,包括Journal of Hepatology(IF:26.8)、The Innovation(IF:33.2,2篇)、BMC Medicine、Lancet Regional Health-Western Pacific(2篇)、Journal of the International AIDS Society、Journal of Antimicrobial Chemotherapy、Proceedings of the Royal Society B: Biological Sciences、AIDS等,其中1篇被选为世界卫生组织发布指南的卫生经济学证据,并入选为感染医学领域唯一一篇“爱思唯尔(Elsevier)中国金色开放获取高下载论文(2023年第一季度)”,2篇被选为中华医学会感染病学分会、肝病学分会、儿科学分会感染学组和国家感染性疾病临床医学研究中心联合发布的《儿童慢性乙型肝炎防治专家共识》建模证据。受邀在Lancet Infectious Diseases(IF:36.4)针对传染病建模研究发表评论2篇、在Lancet Regional Health-Europe(IF:13.6)发表评论1篇。参编了5本教材,包括《医学大数据与人工智能应用(人民卫生出版社)》《医学研究数据管理分析(西安交通大学出版社)》《理论流行病学:前沿与实践(厦门大学出版社)》《医学文献检索与论文写作思政案例库(人民卫生出版社)》和《卫生法学(西安交通大学出版社)》。担任BMC Medicine期刊编委、中国抗癌协会肿瘤流行病学专业委员会委员、中国疫苗行业协会疫苗经济学专业委员会委员等。

文字:公共卫生学院
图片:公共卫生学院
编辑:王恺悦

关闭

相关文章

读取内容中,请等待...
Baidu
map