随着全球范围内共享单车系统数量达到两千个,共享汽车市场在2022年收入达到169亿美元,车辆共享系统因其便捷性和环保性广受欢迎。然而,供需不匹配问题导致显著的运营效率损失,例如西班牙公共自行车系统因车辆分布不均损失16.4%的需求,共享汽车系统如car2go需投入大量资源重新定位车辆以应对分布不均、非法停车等问题。因此,研究如何通过动态重新定位车辆以优化分布、降低成本并提升社会福利,成为车辆共享系统运营管理的关键课题。西安交通大学管理学院杨一行助理教授团队针对车辆共享系统中的动态重新定位问题展开研究,该问题因其复杂性和多维度特性而极具挑战性。
首先,系统需要在多个服务区域间实时调整固定数量的车辆分布,以应对不确定的需求波动,而需求在同一周期内可能存在相关性,这增加了建模和优化的难度。其次,传统的马尔可夫决策过程(MDP)方法因涉及多区域、多周期的决策而面临“维度灾难”,导致计算复杂度极高,难以在实际大规模系统中实时应用。此外,车辆共享系统与传统库存管理问题不同,车辆在区域间的移动会同时影响起点和终点的供给,造成区域间状态的相互依赖,进一步复杂化了优化过程。季节性需求的变化也为长期规划和策略设计带来了额外挑战。因此,开发一种既能在理论上保证最优性又在实践中高效可行的重新定位策略,成为该领域亟待解决的难题。

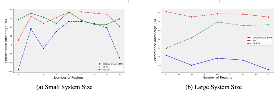
图1 平衡短视策略与R-ADP的表现对比
研究成果以“车辆共享系统的车队重新定位:平衡短视策略的渐进最优性”(Fleet Repositioning for Vehicle Sharing Systems: Asymptotic Optimality of the Balanced Myopic Policy)为题,于2025年6月2日在《生产与运作管理》Production and Operations Management在线发表。文章通过提出平衡短视策略(BMO),解决了传统马尔可夫决策过程(MDP)因维度灾难导致的计算复杂性问题,填补了单周期优化策略在长期动态优化中的理论空白。研究首次证明了BMO在平均奖励设置下的最优性,并通过构建上下界系统展示了其在大型系统中的渐进最优性,性能差距随系统规模增大而趋于零。此外,文章扩展了BMO至季节性需求场景,验证了其鲁棒性,并通过与现有方法的数值比较(如R-ADP算法)以及现实案例研究,凸显了BMO在计算效率和实际应用中的优越性。这些贡献不仅为车辆共享系统的运营管理提供了高效解决方案,还为其他基于MDP的应用提供了可借鉴的证明技术和启发式设计思路。

图2 不同分布下的平衡短视策略与事前、事后动态最优策略对比
论文链接:https://journals.sagepub.com/doi/10.1177/10591478251349724